Investasi Modal Kecil untuk Pemula: Mulai dari 100 Ribu
Finlogy, Bogor — Banyak orang menunda investasi modal kecil karena merasa uangnya belum cukup. Harus punya jutaan dulu, harus nunggu gaji naik dulu, atau harus menunggu waktu yang dianggap “tepat”.
Padahal, pertanyaan yang lebih penting bukan soal berapa besar uang yang kamu punya—tapi apakah kamu sudah mulai atau belum.
Baca Juga
Faktanya, investasi tidak selalu membutuhkan modal besar. Bahkan dengan Rp100.000, kamu sudah bisa mengambil langkah pertama.
Masalahnya, banyak orang meremehkan awal yang kecil. Mereka fokus pada hasil besar, tapi lupa bahwa semua itu selalu dimulai dari langkah yang sederhana.
Lalu, apakah benar investasi modal kecil bisa memberikan hasil? Dan bagaimana cara memulainya dengan tepat?
Apakah 100 Ribu Bisa untuk Investasi?
Ya, Rp100.000 sudah cukup untuk mulai investasi. Saat ini, banyak instrumen dan platform yang memungkinkan kamu berinvestasi dengan nominal kecil, bahkan mulai dari Rp10.000.
Artinya, batasan untuk mulai investasi bukan lagi soal jumlah uang, tapi soal kemauan untuk memulai.
Dengan Rp100.000, kamu memang tidak akan langsung mendapatkan hasil besar. Namun, nilai sebenarnya dari investasi bukan hanya pada jumlahnya, melainkan pada kebiasaan dan waktu yang kamu bangun sejak awal.
Dalam jangka panjang, konsistensi menyisihkan uang—meskipun kecil—dapat memberikan hasil yang jauh lebih signifikan dibanding menunggu punya modal besar tapi tidak pernah mulai.
Kenapa Investasi Modal Kecil Tetap Penting?
Banyak orang meremehkan investasi dengan nominal kecil karena merasa hasilnya tidak akan signifikan.
Padahal, dalam investasi, yang paling berpengaruh bukan hanya jumlah uang—melainkan waktu dan konsistensi.
Memulai dari nominal kecil justru membantu kamu membangun kebiasaan finansial yang seringkali lebih sulit daripada sekadar mengumpulkan uang.
Dalam praktiknya, banyak orang yang sudah memiliki penghasilan besar justru tetap kesulitan berinvestasi karena tidak terbiasa sejak awal. Sebaliknya, mereka yang mulai dari kecil cenderung lebih disiplin dan konsisten dalam jangka panjang.
Selain itu, memulai dengan nominal kecil juga memberi ruang untuk belajar tanpa tekanan besar. Kamu bisa memahami cara kerja investasi, mengenali risiko, dan belajar mengambil keputusan—tanpa takut kehilangan jumlah yang terlalu besar.
Karena itu, investasi modal kecil bukan tentang mengejar hasil instan, tapi tentang membangun kebiasaan finansial yang konsisten untuk jangka panjang.
Contoh Investasi 100 Ribu per Bulan
Banyak orang berpikir Rp100.000 terlalu kecil untuk menghasilkan apa-apa. Tapi yang sering tidak disadari, kekuatan investasi justru muncul dari waktu dan konsistensi.
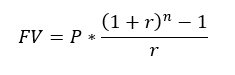
Misalnya, kamu menyisihkan Rp100.000 setiap bulan dan mendapatkan rata-rata pertumbuhan sekitar 10% per tahun (ini hanya ilustrasi, bukan jaminan).

Rumus di atas digunakan untuk menghitung nilai investasi di masa depan jika kamu berinvestasi secara rutin.
Tapi kamu tidak perlu pusing dengan rumusnya—yang penting adalah memahami cara kerjanya.
Cara Membacanya Secara Sederhana
P (Payment) → jumlah yang kamu investasikan rutin (Rp100.000 per bulan)
r (Return) → tingkat keuntungan (misalnya 10% per tahun)
n (Waktu) → berapa lama kamu berinvestasi (misalnya 5 atau 10 tahun)
FV (Future Value) → hasil akhir investasi kamu di masa depan
Hasil Simulasi Sederhana
Dengan pendekatan sederhana tersebut, hasilnya bisa terlihat seperti ini:
1 tahun
Total setor: Rp1.200.000
Estimasi nilai: ± Rp1.260.0005 tahun
Total setor: Rp6.000.000
Estimasi nilai: ± Rp7.700.00010 tahun
Total setor: Rp12.000.000
Estimasi nilai: ± Rp20.500.000
Kenapa Hasilnya Tidak Langsung 10% dari Total?
Sekilas, mungkin kamu berpikir:
“Kalau setahun nabung Rp1,2 juta, berarti tambah 10% jadi Rp1,32 juta dong?”
Tidak sepenuhnya begitu.
Karena uangnya tidak masuk sekaligus di awal tahun, tapi bertahap setiap bulan.
Artinya:
uang di bulan pertama bekerja 12 bulan
uang di bulan terakhir hanya bekerja 1 bulan
Jadi, hasil akhirnya sedikit lebih kecil dari perhitungan langsung.
Kenapa Bisa Bertambah Lebih Cepat?
Karena keuntungan yang kamu dapat tidak hanya berhenti di situ.
Keuntungan tersebut akan ikut diinvestasikan kembali dan menghasilkan keuntungan baru.
Inilah yang disebut sebagai efek compounding—di mana uang kamu berkembang bukan hanya dari modal awal, tapi juga dari hasilnya.
Perbedaannya mulai terasa ketika waktu berjalan lebih lama. Bukan hanya uang yang kamu setorkan yang bertambah, tapi juga hasil dari pengembangannya ikut “bekerja”.
Kamu tidak perlu menghafal rumusnya. Yang penting adalah memahami prinsipnya: mulai dari kecil, lakukan secara rutin, dan beri waktu untuk berkembang.
Yang sering diremehkan bukan angka Rp100.000-nya, tapi waktu yang hilang ketika kamu menunda untuk mulai.
Instrumen Investasi Modal Kecil yang Cocok
Setelah memahami bahwa kamu bisa mulai dari Rp100.000, pertanyaan berikutnya adalah: uang tersebut sebaiknya diinvestasikan ke mana?
Tidak semua instrumen cocok untuk pemula, apalagi dengan modal kecil. Karena itu, penting memilih yang sederhana, mudah dipahami, dan tidak membutuhkan modal besar di awal.
1. Reksa Dana
Reksa dana adalah salah satu pilihan paling umum untuk pemula.
Dana yang kamu investasikan akan dikelola oleh manajer investasi dan ditempatkan ke berbagai instrumen seperti saham, obligasi, atau pasar uang.
Kelebihannya:
bisa mulai dari Rp10.000
dikelola profesional
tidak perlu analisis mendalam
👉 Cocok untuk:
pemula yang ingin praktis dan tidak ingin ribet
Meski bisa dimulai dari nominal kecil, jangan remehkan skalanya. Data OJK mencatat industri reksa dana Indonesia telah mengelola lebih dari Rp1.039 triliun pada 2025—tumbuh 24,16 persen hanya dalam setahun. Artinya, kamu bergabung dengan instrumen yang sudah dipercaya jutaan orang. (Sumber: OJK, Desember 2025)
2. Saham (dengan nominal kecil)
Saham memberikan peluang keuntungan yang lebih tinggi, tetapi juga disertai risiko yang lebih besar.
Saat ini, kamu sudah bisa membeli saham dengan modal relatif kecil karena sistem pembelian per lot (100 lembar).
Namun, berbeda dengan reksa dana, investasi saham membutuhkan pemahaman yang lebih baik tentang perusahaan dan pergerakan pasar.
👉 Cocok untuk:
pemula yang siap belajar dan memahami risiko
3. Emas Digital
Emas sudah lama dikenal sebagai instrumen investasi yang relatif stabil.
Saat ini, kamu tidak perlu membeli emas fisik—kamu bisa mulai dari nominal kecil melalui platform digital.
Emas biasanya digunakan untuk menjaga nilai uang, terutama dalam jangka menengah hingga panjang.
👉 Cocok untuk:
pemula yang ingin investasi sederhana dan cenderung stabil
4. Deposito (Alternatif Paling Aman)
Deposito adalah produk perbankan dengan tingkat risiko yang sangat rendah.
Keuntungannya lebih kecil dibanding instrumen lain, tetapi relatif stabil dan terprediksi.
Beberapa platform saat ini juga menyediakan deposito dengan nominal yang lebih terjangkau.
Tidak ada satu instrumen yang paling benar untuk semua orang.
Pilihan terbaik selalu kembali pada tujuan keuangan, jangka waktu, dan tingkat kenyamanan kamu terhadap risiko.
Setelah mengetahui berbagai pilihan investasi yang bisa dimulai dengan modal kecil, ada satu hal yang sering membuat banyak orang tetap gagal—yaitu kesalahan di awal.
Kesalahan dalam Investasi Modal Kecil
Memulai investasi dengan modal kecil memang terlihat sederhana. Namun, justru di tahap awal inilah banyak orang melakukan kesalahan yang membuat hasilnya tidak optimal—bahkan berhenti di tengah jalan.
Bukan karena modalnya kurang, tapi karena cara memulainya yang kurang tepat.
1. Menganggap Nominal Kecil Tidak Penting
Banyak orang merasa Rp100.000 terlalu kecil untuk memberikan dampak. Akibatnya, mereka tidak konsisten atau bahkan berhenti sama sekali.
Padahal, dalam investasi, kebiasaan jauh lebih penting daripada jumlah. Nominal kecil yang rutin jauh lebih berharga dibanding nominal besar yang tidak konsisten.
2. Berharap Hasil Cepat
Salah satu jebakan terbesar adalah berharap uang kecil bisa langsung menghasilkan keuntungan besar dalam waktu singkat.
Pola pikir ini sering membuat orang mudah tergiur dengan janji “profit cepat” yang tidak realistis—bahkan berisiko masuk ke investasi ilegal.
Investasi yang sehat membutuhkan waktu, bukan instan.
3. Tidak Konsisten
Banyak yang semangat di awal, tapi berhenti setelah beberapa bulan karena merasa hasilnya “tidak terasa”.
Padahal, efek investasi baru mulai terlihat setelah berjalan dalam jangka waktu tertentu.
Tanpa konsistensi, bahkan strategi terbaik pun tidak akan memberikan hasil yang maksimal.
4. Langsung Pilih Instrumen Berisiko Tinggi
Karena ingin hasil cepat, sebagian pemula langsung masuk ke instrumen berisiko tinggi tanpa pemahaman yang cukup.
Ini sering berujung pada kerugian dan membuat mereka trauma untuk melanjutkan investasi.
Padahal, dengan modal kecil, seharusnya fokus utama adalah belajar dan membangun kebiasaan—bukan mengejar keuntungan besar.
5. Tidak Memahami Risiko
Hanya fokus pada potensi keuntungan tanpa memahami kemungkinan kerugian adalah kesalahan yang cukup umum.
Setiap investasi memiliki risiko, termasuk potensi kehilangan sebagian atau seluruh modal.
Memahami risiko sejak awal akan membantu kamu mengambil keputusan yang lebih bijak dan tidak panik saat menghadapi fluktuasi.
Menghindari kesalahan bukan berarti kamu harus langsung sempurna. Tapi dengan menyadarinya sejak awal, kamu sudah selangkah lebih maju dibanding banyak orang lain yang baru belajar setelah mengalami kerugian.
Pertanyaan Seputar Investasi Modal Kecil
Apakah Rp100.000 benar-benar cukup untuk mulai investasi?
Ya. Saat ini banyak platform investasi legal yang terdaftar di OJK memungkinkan kamu mulai dari Rp10.000 saja. Rp100.000 sudah lebih dari cukup untuk memulai, terutama di instrumen seperti reksa dana pasar uang. Yang lebih penting dari jumlahnya adalah konsistensi dan kebiasaan yang kamu bangun sejak awal.
Instrumen apa yang paling cocok untuk pemula dengan modal kecil?
Reksa dana adalah pilihan paling umum dan paling cocok untuk pemula. Dana kamu dikelola oleh manajer investasi profesional yang sudah berizin OJK, kamu tidak perlu analisis mendalam, dan bisa mulai dari Rp10.000. Setelah kamu lebih paham cara kerja pasar, kamu bisa mulai mempertimbangkan saham atau instrumen lain yang sesuai profil risikomu.
Berapa lama sampai investasi Rp100.000 per bulan terasa hasilnya?
Efek compounding mulai terasa signifikan setelah 5 tahun ke atas. Berdasarkan simulasi dengan asumsi pertumbuhan 10% per tahun, Rp100.000 per bulan bisa berkembang dari total setoran Rp6 juta menjadi estimasi Rp7,7 juta dalam 5 tahun—dan Rp12 juta menjadi Rp20,5 juta dalam 10 tahun. Semakin lama, semakin besar selisihnya.
Apakah investasi modal kecil aman dari penipuan?
Risiko penipuan tetap ada jika kamu tidak berhati-hati. Selalu pastikan platform yang kamu gunakan terdaftar dan diawasi OJK sebelum menempatkan uang di mana pun. Kamu bisa verifikasi langsung di ojk.go.id. Hindari platform yang menjanjikan keuntungan besar dalam waktu singkat tanpa risiko—itu tanda-tanda investasi ilegal.
Apa perbedaan menabung dan investasi modal kecil?
Menabung menyimpan uang dengan nilai yang relatif tetap, sementara investasi membuat uang itu bekerja dan berpotensi berkembang. Kelemahannya, nilai tabungan bisa tergerus inflasi seiring waktu. Investasi modal kecil, meski nominalnya sama, punya potensi pertumbuhan yang jauh lebih besar dalam jangka panjang—dengan risiko yang bisa dikelola jika kamu memilih instrumen yang tepat.
Kesimpulan
Investasi tidak selalu harus dimulai dengan jumlah besar. Bahkan dari Rp100.000, kamu sudah bisa mengambil langkah pertama.
Yang terpenting bukan seberapa besar uang yang kamu miliki saat ini, tetapi seberapa konsisten kamu membangunnya dari waktu ke waktu.
Dengan memahami dasar, memilih instrumen yang tepat, dan menghindari kesalahan di awal, investasi modal kecil tetap bisa berkembang menjadi sesuatu yang berarti di masa depan.
Kamu tidak perlu menunggu kondisi “sempurna”. Karena dalam investasi, waktu yang kamu miliki hari ini seringkali jauh lebih berharga daripada jumlah uang yang kamu tunda.
Langkah Selanjutnya
Di artikel berikutnya, kita akan membahas bagaimana cara mulai investasi melalui aplikasi untuk pemula, termasuk langkah-langkah praktis menggunakan platform seperti Bibit, Ajaib, dan lainnya—bahkan hanya dengan modal Rp100.000.
Artikel ini ditulis berdasarkan riset dari sumber-sumber terpercaya, termasuk data resmi OJK. Konten ini bersifat edukatif dan bukan merupakan rekomendasi investasi. Setiap keputusan investasi adalah tanggung jawab pribadi pembaca.
Artikel Terbaru Lainnya
Cara Investasi untuk Pemula: Panduan Lengkap Mulai dari Nol
Cara investasi untuk pemula dari nol: panduan lengkap mulai dari menentukan tujuan, mengenali profil risiko, hingga memilih instrumen yang tepat dan menghindari kesalahan umum.
Apa Itu Investasi? Penjelasan Lengkap untuk Pemula
Banyak orang merasa aman hanya dengan menabung, padahal nilai uang bisa terus menurun. Artikel ini membahas apa itu investasi, kenapa penting, risikonya, serta bagaimana kamu bisa mulai bahkan dari Rp100.000 per bulan